Исследовали 4 000 вакансий и резюме. Скиллы и требования
В данном исследовании мы проанализировали примерно 4000 резюме и вакансий директоров по маркетингу, сравнивая спрос и предложения. Мы изучили, за сколько покупаются и продаются навыки, выявили различия в сегментах директоров по маркетингу, оценивая опыт, гендерные особенности, а также влияние опыта на ожидаемую заработную плату. Мы также рассмотрели, какие слова и термины используются в описаниях опыта.
Исследование включает четыре основных этапа:
-
Опыт;
-
Гендер;
-
Скиллы;
-
Сравнение резюме и вакансий.
В анализе участвовали резюме из разных регионов России с зарплатными ожиданиями от 80 000 руб. Общее число резюме составило 2300, а вакансий — 1700. Все данные обработаны анонимно.
Опыт и зарплатные ожидания в резюме
experience_group — это группы по опыту работы, count — количество резюме, mean — среднее значение зарплаты, std — стандартное отклонение, q1-q3 — квантили.
Чем богаче опыт, тем более разнообразными становятся ожидания по заработной плате, что проявляется в увеличении стандартного отклонения. В то же время можно выделить, что уровень заработной платы практически не различается до достижения 75-процентного уровня (3-го квантиля). Например, до 3-го квантиля примерно 75% резюме с опытом от 5 до 10 лет указывают требования до 200 000 рублей, в то время как около 25% резюме с опытом более 15 лет ожидают зарплату свыше 250 000 рублей.
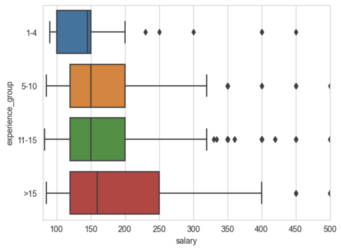
Ящик с усами
Добавим ящик с усами, или boxplot.
Видно, что разбросы в зарплатных ожиданиях достигают наивысших значений в самой опытной группе. Это свидетельствует о том, что наличие большого опыта не всегда гарантирует успех, ибо разброс значений оказывается очень значительным.
Что же влияет на уровень зарплаты помимо опыта?
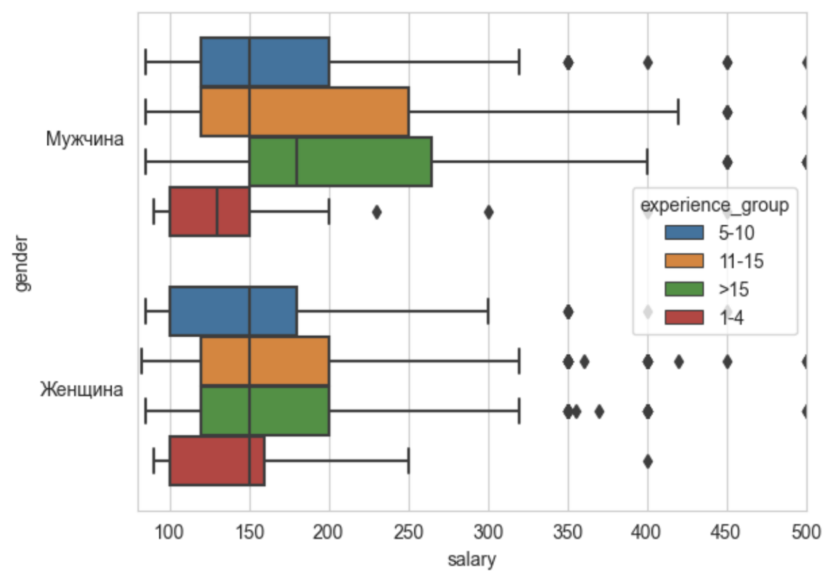
Можно разделить по гендеру.
Женщин среди директоров по маркетингу больше.
Детально изучим boxplot.
Мужчины и женщины почти одинаково ожидают зарплату, однако мужчины в самых опытных группах выражают более высокие требования. С другой стороны, женщины с меньшим опытом претендуют на более высокую заработную плату по сравнению с мужчинами.
Стоимость скиллов
Понимая, что указание скиллов в резюме не всегда является надежным показателем навыков, мы признаем, что руководители считают этот аспект важным. Наша задача на данном этапе заключается в определении стоимости скиллов и их распределения относительно других показателей.
В процессе анализа резюме мы придерживаемся следующего метода: для каждого резюме выделяем скиллы и присваиваем им значения, основываясь на указанной в резюме зарплате, опыте и поле. Эти данные мы затем агрегируем в сводной таблице, где отражаются средние значения. Мы учитываем примерно 17 тегов со скиллами на основе медианных значений. В процессе анализа участвуют только те скиллы, которые встречаются более 200 раз.
Далее мы фильтруем данные по самым популярным скиллам для дальнейшего изучения и анализа.
count — количество упоминаний, salary — среднее значение зарплаты, gender — процент женщин, experience — опыт.
Желание предоставить более обширную информацию подтолкнуло нас к созданию графика, который сможет учесть все эти данные сразу.
По вертикали — уровень зарплат, по горизонтали — процент женщин, объем кружка — количество упоминаний, цвет — опыт.
Из предоставленной информации видно, что мужчины в своих резюме чаще подчеркивают digital-скиллы, такие как контекстная реклама, Директ, Google и SEO. Также, они больше уделяют внимание навыкам в области продаж и обучения персонала.
С другой стороны, женщины выделяются в таких областях, как PR, копирайтинг, знание английского языка, продвижение бренда, организация мероприятий и бюджетирование.
Интересно отметить, что наиболее высокооплачиваемые теги связаны с управлением и стратегией. Эта информация может быть полезной при анализе тенденций в указании скиллов по полу и оплате в различных областях деятельности.
Как же эти скиллы группируются между собой?
Давайте посмотрим, какие у нас есть сегменты директоров по маркетингу.
Для этого будем использовать алгоритм TSNE. Это метод понижения размерности из математики. Более подробно о том, как он работает, я рассказал в своей статье Анализ 3000 статей.
Этот алгоритм позволяет находить кластеры в данных. Значения осей абстрактны, облака точек указывают на близкие группировки. В данном случае они показывают совместное упоминание скиллов в резюме.
Посмотрим, что тут есть, поближе.
Сегмент 1. Интернет-маркетологи. Им точно понравятся наши быстрые и красивые сайты, которые загружаются от 0,4 секунды.
Сегмент 2. Ощущение, что это бывшие продажники, которые перешли немного в другую область.
Сегмент 3. Креативщики — люди слов.
Дальше два облака, которые похожи по смыслу, но используют разные слова.
Сегмент 4. Директора с простой терминологией и меньшими ожиданиями.
Сегмент 5. Директора с более продвинутой терминологией, но без digital. Здесь отличный момент для рекламы нашего бесплатного курса База IT для бизнеса за час, который мы специально сделали для этого сегмента директоров и не только!
А еще у нас есть сервис, который прекрасно подходит для визуализации исследований и любых данных, — Awake-tools.
Сравнение с вакансиями
Если провести классификацию вакансий и резюме по процентилям по уровню заработной платы, мы получим следующую визуализацию на графике.
Два правых столбца — это 95 и 99 процентили, красные столбец — вакансии, синий столбец — резюме. По горизонтали процентили.
Резюме всегда находятся в более высоких диапазонах, что, вероятно, является нормой для данной должности.
Давайте проведем сравнение стоимости скиллов в вакансиях и резюме, чтобы определить, какие из них переоценены или недооценены с обеих сторон.
По вертикали — зарплатные ожидания у директоров по маркетингу, по горизонтали — отклонение от вакансий, размер точки — количество упоминаний в резюме, цвет — опыт.
Чем ближе точка к левому краю, тем ниже стоимость этого скилла в вакансиях. Например, скилл «Яндекс.Директ» в среднем оценивается у респондентов в 170 тыс. рублей, в то время как в вакансиях его стоимость на 30 процентов ниже. Скилл «управление продажами» оценивается почти одинаково, причем стоит помнить, что предложение немного превышает спрос с точки зрения стоимости.
Вторая часть
В следующем этапе нашего исследования мы сосредоточимся на анализе слов, используемых в описании опыта, и их стоимости. Путем обучения нейросети мы планируем выявить ключевые атрибуты, влияющие на уровень заработной платы, и выяснить, какие из этих факторов считаются наиболее важными.
Также, мы рассмотрим отличия между кластерами и выявим дополнительные факторы, которые могут влиять на уровень заработной платы и общую профессиональную успешность.
Если у вас есть конкретные запросы или предпочтения по анализу определенных аспектов, пожалуйста, делитесь ими, и мы постараемся учесть их в нашем исследовании.
Подпишитесь, чтобы не пропустить.
Мы делаем реактивные сайты на Gatsby, PWA-приложения, дизайн и маркетинг — evilUnion.com