22.01.2024, 21:51

Кейс: продвижение интернет-магазина подарков во ВКонтакте — 8380 продаж на 60,7 млн руб. за год

В кейсе не будем вдаваться в подробности каждой рекламной кампании и рассматривать все связки, которые протестировали за год. Больше внимания уделим принципам, которые помогли прийти к результату.

Салют! Это агентство The Verga.

Год назад рассказывали о результатах работы с компанией, которая работает в нише подарков. Продолжаем продвигать этот проект, и каждый месяц улучшаем результаты. За год выручка заказчика из ВКонтакте составила более 60,7 млн рублей.

К сожалению, примеры рекламных объявлений не сможем показать, так как с заказчиком заключен договор NDA.

Информация о проекте

Заказчик: Клиент под NDA. Сфера деятельности — уникальные товары, ниша подарков.

Задача: Приводить заявки до 170 рублей, в рамках ДРР не более 10%.

Результаты за первые 2 месяца сотрудничества:

  • Бюджет: 241 тысяча рублей;

  • Заявки: 1443 по 167 рублей;

  • Продажи: 331.

Результаты за год:

  • Бюджет: 5,7 млн рублей;

  • Заявки: 48 321 по 112 рублей;

  • Продажи: 8380;

  • ДРР: 9,7%.

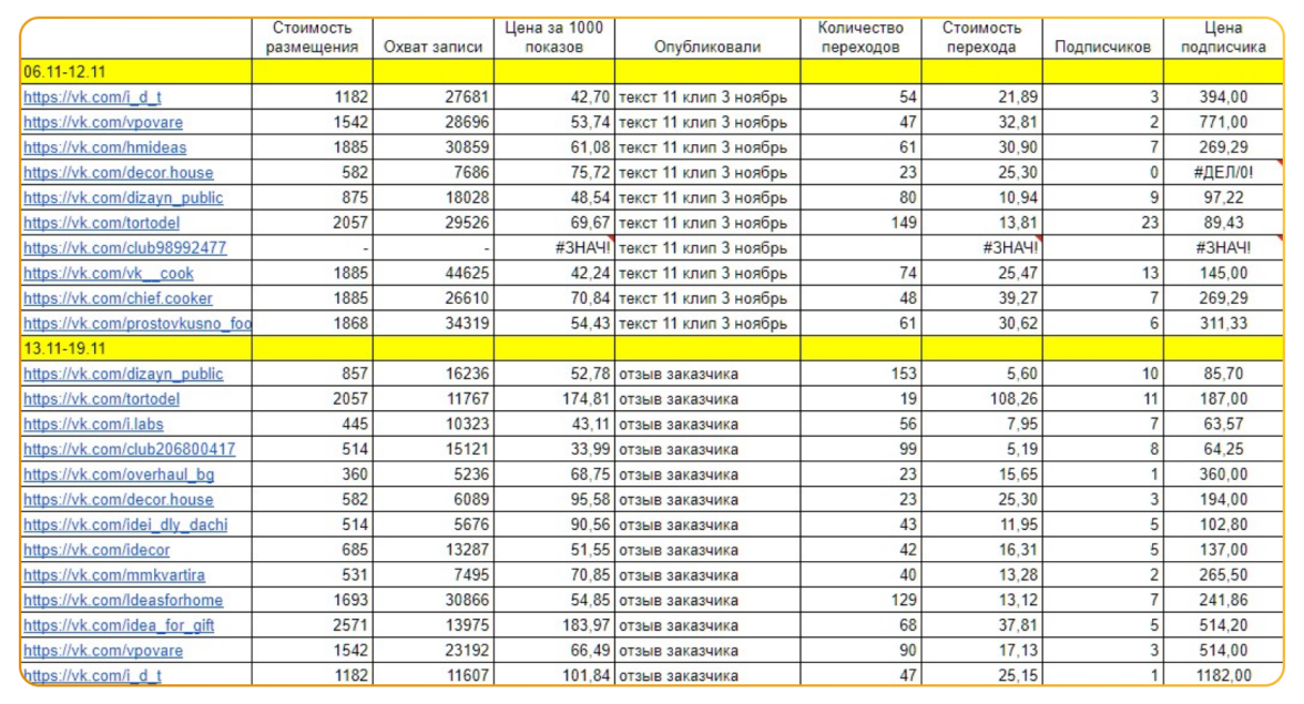
Подключили маркет-платформу и получаем переходы по 25 рублей

В этом году подключили к работе по проекту новый инструмент — маркет-платформу.

Маркет-платформа — рекламная биржа ВКонтакте, на которой различные сообщества становятся площадками для публикации рекламных объявлений.

Сообщества для посевов выбираем исходя из того, где могут быть наши клиенты.

  1. Сначала собираем сообщества, на которые подписана наша целевая аудитория;

  2. Анализируем;

  3. Делаем выводы, например: чаще всего люди подписываются на группы дизайн интерьера, кулинарию и ремонт;

  4. Ищем на маркет-платформе тематические сообщества: «Дизайн интерьера», «Кулинария», «Ремонт» и так далее;

  5. Уточняем варианты размещения, ведь не все сообщества разрешают размещать рекламу;

  6. Публикуем.

Поначалу маркет-платформа была дополнительным инструментом, но в последние месяцы заметили, что размещение на маркет-платформе больше влияет на количество заявок, чем рекламный кабинет.

Результаты посевов рекламных объявлений с помощью маркет-платформы.

Расчеты показали, что приблизительно 20% от общего количества переходов становятся заявками. Лучшие результаты дают группы для посева «Дизайн интерьера и ремонт».

Поэтому в ноябре увеличили бюджет на маркет-платформу до 100 000 руб. и получили 2889 переходов по 25 руб., что на 28% дешевле таргета.

Масштабировали рекламные кампании за счет увеличения аудитории

Еще в самом начале работы пришли к выводу, что для масштабирования ниши подарков нужно делать акцент на количестве разной аудитории, а не на количестве рекламных форматов. Этот вывод позволил эффективнее реализовать рекламный бюджет.

Лучше всего сработали:

  • Теплая аудитория, люди, которые уже знакомые с продуктом.

  • Аудитория тематических ключей, таких как «ключи свадебные подарки», «ключи ювелирные изделия». В этих ключах мы искали людей, которые покупают что-то к празднику. Они тоже наша целевая аудитория, так как рассматривают товар заказчика как подарок.

  • Аудитория групп конкурентов — эти люди уже знакомые с продуктом и выбирают из нескольких вариантов.

  • Аудитория дизайна интерьера (ключи, тематические группы), так как в этих группах находится целевая аудитория заказчика. Мы проанализировали подписчиков группы клиента и посмотрели, на какие группы они также подписаны. В основном на «дизайн интерьера».

Рекламные кампании, которые запустили за год работы в проекте.

Для того чтобы масштабировать рекламные кампании по аудиториям, привлекали нейросети.

В марте нужно было запустить дополнительную рекламную кампанию, так как заказчик увеличил бюджет до 25 тысяч рублей.

Мы уже писали, что масштабироваться в этом проекте надо за счет аудиторий, а не за счет количества объявлений на одну и ту же аудиторию. Чтобы быстро собрать новые аудитории, обратились за помощью к нейросети.

ИИ подсказал тематику пабликов, на которые может быть подписана наша целевая аудитория.

ИИ выдала список, который запустили в работу с лучшими объявлениями. В итоге за полдня получили 19 сообщений по 131 руб.

О том, как нейросети помогают в работе в других проектах, рассказали в посте: Как запустить рекламную кампанию за один день с помощью нейросети.

Внедрили новые форматы рекламных объявлений

На протяжении года тестировали разные форматы рекламных объявлений.

Видеоформат

Например, вариант видео, где показывали эмоции получателя от подарка, не заинтересовал аудиторию заказчика. Заявки приходили дорогие, и мы от него отказались.

А вот видео, где человек распаковывал подарок, сработало лучше всего. Оно привело 1293 обращений по 181 руб. На нем был показан подарок и было хорошо видно высокое качество товара. Доверие аудитории также подкреплялось рассказом о преимуществах и ценности подарка.

Мы продолжили масштабировать это объявление на большее количество аудиторий.

Текстовый формат

Из последних связок лучше себя показали:

  • текст, со словами «семейные ценности» — получили 314 сообщений по 201 рублю;

  • отзыв клиента — получили 2415 сообщений по 125 рублей.

Запускали ситуативные рекламные кампании на праздники

При работе в нише подарков лучше всего делать акцент на стоимости подарка, ценностях, особенностях, смысле подарка, сроках доставки и изготовления.

Ведь попасть в конкретный повод труднее, чем рассказать про свойства, тем более что не каждый подарок дарится на какой-то повод.

В сезон мы подключаем дополнительные рекламные кампании, которые связаны с тем праздником, на который люди в большинстве случаев берут подарки.

Например, летом, мы подключали дополнительные рекламные кампании, где предлагали пользователям купить подарок на свадьбу и делали акцент на особенностях продукта, стоимости, и условиях доставки.

Эти объявления привели хороший результат: мы получили 285 заявок по 128 р. на аудиторию «Свадьбы» за две недели.

Подробнее об этой рекламной кампании рассказали в посте: Как получили 285 заявок по 128 р. на аудиторию «Свадьбы» за две недели во ВКонтакте.

Применили системный подход по распределению бюджета и перешли на оплаты услуг агентства по KPI

Мы не ставим цель привести заказчику как можно больше заявок. Наша задача, чтобы рекламный бюджет окупался. Зарабатывает заказчик — зарабатываем мы. Это принцип нашей работы.

Поэтому мы перешли с заказчиком на систему оплаты по KPI. Вместе с ним определили цифры, по которым заказчику будет выгодно получать трафик, а нам выгодно его масштабировать. При таком подходе нам нет смысла гнаться за количеством заявок. А важнее следить за отношением расходов на рекламу к доходу, который она принесла. В ноябре эта цифра составила 10%.

В конце каждого месяца созваниваемся с заказчиком. Смотрим на долю рекламных расходов, понимаем, за счет чего трафик окупается и исходя из анализа распределяем бюджет на следующий месяц и ставим планы.

Система планирования бюджета на рекламу и расчет оплаты по KPI.

Результат и дальнейшие планы

Приятно осознавать, что мы растем вместе с заказчиком. Начинали с бюджета на рекламу в 200 тыс. руб., а сейчас работаем с бюджетом почти 800 тыс. руб. в месяц. Это еще раз подтверждает, что таргет не волшебная таблетка, а командная работа двух партнеров. Партнер, который отвечает за привлечение трафика и партнер, который занимается своим бизнесом.

В следующем месяце планируем достичь ДРР менее 5%.

Чтобы прийти к результату, планируем:

  1. Протестировать тематические заголовки из популярных рекламных роликов.

  2. Будем проводить ежедневную оптимизацию за счет отключения объявлений с дорогим результатом и перераспределения бюджета на лучшие связки.

  3. Увеличить бюджет на маркет-платформу и снизить на таргет, чтобы достичь большего результата при том же самом бюджете.


Проведем аудит рекламы и покажем, как увеличить бюджет и снизить стоимость заявки!

Оставить заявку

the Verga
the Verga — digital-агентство Александра Верги. Специализируемся на таргетированной рекламе во ВКонтакте, контекстной рекламе, SMM-продвижению и посевах во ВКонтакте, Нельзяграм и Telegram.